
当地时间3月23日,美国贸易代表办公室(USTR)在官网上宣布,将恢复部分中国进口商品的关税豁免,涉及此前549项待定产品中的352项。该规定将适用于2021年10月12日至2022年12月31日之间进口自中国的商品。

图片取自USTR官网
大家最关心的问题莫过于哪些商品被豁免了。根据公告,本次被豁免的品类包括特定种类的自行车部件、电机、机械、化学品、海鲜和行李袋等。
具体清单我们已经拿到:

图片取自USTR官网

图片取自USTR官网
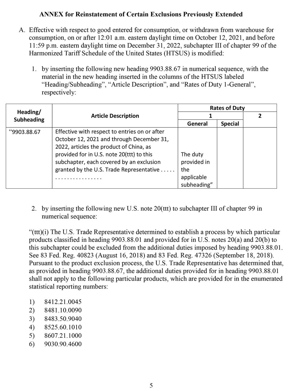
据悉,这部分豁免商品名单要追溯到特朗普当政时,对价值达3700亿美元的中国产品征收7.5%至25%的关税,这部分加税商品中,美国最开始对2200多项产品提供关税豁免,以向某些行业和零售商提供救济。大多数豁免到期后结束,但有549项被延长一年,这些也在2020年底到期。
去年10月8日,USTR宣布,拟重新豁免549项中国进口商品的关税,并就此征询公众意见。时隔近半年后,USTR确认了名单。
USTR说:“今天的决定是在仔细考虑了公众意见并与其他美国机构协商后做出的。”
美国总统拜登自上台以来一直受到美国企业界和两党一些议员的压力,要求减轻进口商品关税负担。
2022年1月底,美国国会众议院民主、共和两党140余名议员向美国贸易代表办公室致联名信,呼吁扩大对中国输美商品的加征关税豁免范围,以帮助美国企业从新冠肺炎疫情导致的供应链中断等风险中复苏。
美国国会众议员在联名信中说,依据“301条款”对中国输美商品加征的关税对美国制造业、农业、渔业、零售业、能源、技术和服务业企业造成了广泛影响,对消化关税成本能力较弱的中小企业打击尤为严重。同时,“301条款”提高了一系列中国输美消费品价格,损害了美国家庭和消费者利益。
早在去年8月,已有30多个美国最具影响力的商业团体(如美国商会、美国商业圆桌会议、全美零售商联合会、美国农场局联合会和美国半导体行业协会等)签署联署信,呼吁拜登政府重启与中国的贸易谈判并削减对中国进口商品的关税。
不过也有唱反调的,代表美国纺织业的全国纺织组织委员会(National Council of Textile Organizations)希望政府保持对来自中国的成衣和家纺产品的关税。
穆迪分析公司调查显示,美国对华加征关税的超90%都由美国企业和家庭承担。更重要的是,限制自华进口还带来更多负面效应,让美国失去大量就业岗位并导致通胀飙升。
最新数据显示,美国2022年1月份消费者价格指数(CPI)同比上涨7.5%,创下1982年2月以来40年新高。即便是剔除波动较大的食品和能源价格后,美国1月核心CPI同比上涨6%,为自1982年8月以来同比最大涨幅。

